Staringreeks-tool
Er is tooling ontwikkeld om bodem-fysische relaties en Staring-reeksen voor verschillende bodemtypes vast te leggen. Deze tooling grijpt terug op:
- Bestaande Staring-reeksen, inclusief de recent gecorrigeerde reeksen voor zandgronden;
- Staring-reeksen die geüpdatet worden op basis van de BRO-data.
Staringsreeks-tool
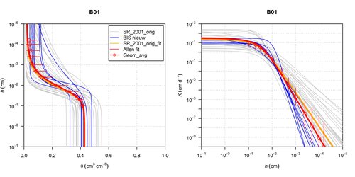
De Staringreeks-tool is een R-script waarmee gemiddelde waterretentie- en doorlatendheidskarakteristieken voor 18 bovengronden en 18 ondergronden voor Nederland kunnen worden afgeleid. In BIS-NL en binnenkort in BRO zijn waterretentie- en doorlatendheidskarakteristieken voor individuele bodemmonsters beschikbaar, welke aan 1 van de genoemde 18 boven- of 18 ondergronden (textuurklassen) zijn gekoppeld. Voor alle informatie per textuurklasse kan dan vervolgens een gemiddelde waterretentie- en een gemiddelde doorlatendheidskarakteristiek worden bepaald. Deze karakteristieken worden beschreven aan de hand van de wiskundige modellen van Mualem en Van Genuchten. Naarmate er meer bodemmonsters in BIS-NL en BRO beschikbaar komen kan de Staringreeks hierop worden aangepast.

De Staringreeks is gelieerd aan de Nederlandse bodemkaart en aan BOFEK.
Het R-script is ontwikkeld door WENR zoals beschreven in WENR rapporten 2978 (https://edepot.wur.nl/512761) en 3286 (https://library.wur.nl/WebQuery/wurpubs/fulltext/639139) . Het R-package/tool is hier te verkrijgen.